صفحه محصول - جزوه آزمایشگاه مدارهای الکتریکی - 41 صفحه - pdf

جزوه آزمایشگاه مدارهای الکتریکی - 41 صفحه - pdf


به احتمال زیاد شمانیز حوصله نوشتن جزوه رانداشته وچندروز مانده به امتحان بدنبال جزوه ای خوانا ، همراه باحل تمرین ومثال باذکر جزئیات کامل هستید.
جزوه فوق توانایی پاسخ به اکثر خواسته های درسی شما درامتحانات پایان ترم وکنکور مقاطع بالاتر را خواهد داشت وشامل :
جدول رنگ مقاومتها
رابطه مقاومت با دما
محاسبه تلرانس
استاندارد مقاوتها
تحقیق قوانین اهم و کریشهف
قضیه تلگان
بررسی مقسم ولتاژ و مقسم جریان
قضیه جمع آثار
مدا معادل تونن - نورتن
چاسخ پله مدار RC
مدار انتگرال گیر
بررسی مدار RC توسط قانون KVL
مدار RL - پاسخ پله
بررسی مدار RL و RC با استفاده از اصل دوگانی
بررسی مدار RL توسط قانون KVL
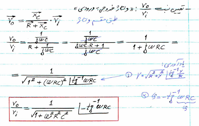
پاسخ فرکانسی مدار RC
فرکانس قطع
پاسخ فرکانسی مدار RL
و دهها تمرین حل شده در پایان هر قسمت - نتایج کار عملی انجام شده در آزمایشگاه

برای بازکردن فایل نیاز به نرم افزارهای زیر دارید :RARZIP
pdf

فایل های دیگر این دسته

مجوزها،گواهینامه ها و بانکهای همکار

فروشگاه فایل صدرا دارای نماد اعتماد الکترونیک از وزارت صنعت و همچنین دارای قرارداد پرداختهای اینترنتی با شرکتهای بزرگ به پرداخت ملت و زرین پال و آقای پرداخت میباشد که در زیـر میـتوانید مجـوزها را مشاهده کنید